Universidad Nacional Micaela Bastidas, Licenciada por SUNEDU, por Calidad Educativa y Excelencia Académica
Imagen de cubierta local
Imagen de cubierta local
Imagen de cubierta local
Imagen de cubierta local
Imagen de cubierta local
Imagen de cubierta local
Imagen de cubierta local
Imagen de cubierta local
Imagen de cubierta local
Imagen de cubierta local
Imagen de cubierta local
Imagen de cubierta local
Imagen de cubierta local
Imagen de cubierta local
Imagen de OpenLibrary

Análisis estructural / Aslam Kassimali, [Impreso]

Por: Colaborador(es): Tipo de material: TextoTextoIdioma: Español México, D.F. Cengage Learning 2015Edición: Quinta ediciónDescripción: 802 Paginas ;Ilustraciones cuadros, figuras blanco y negro :20 x 27 centímetrosISBN:
  • 9781133943891
Tema(s): Clasificación CDD:
  • 724.171 K18
Resumen: La quinta edición del clásico ANÁLISIS ESTRUCTURAL por Aslam Kassamali enseña a los estudiantes los principios básicos del análisis estructural utilizando el enfoque clásico. Los capítulos se presentan en un orden lógico, pasando de una introducción del tema a un análisis de vigas, armazones y marcos rígidos determinados estáticamente, al análisis de estructuras estadísticamente indeterminadas. El texto incluye problemas resueltos para ayudar a ilustrar los conceptos fundamentales. El acceso al software interactivo para analizar estructuras enmarcadas planas está disponible para descargar a través del sitio web complementario del texto.
Etiquetas de esta biblioteca: No hay etiquetas de esta biblioteca para este título. Ingresar para agregar etiquetas.
Valoración
    Valoración media: 0.0 (0 votos)
Existencias
Tipo de ítem Biblioteca actual Signatura topográfica Estado Código de barras
Libros Libros BIB Especializada de EAP de Ingeniería Civil 724.171 K18 (Navegar estantería(Abre debajo)) Disponible SK06SEL00089

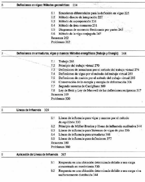
incluye indice

Biblioteca especializada Ingeniería Civil / a domicilio

La quinta edición del clásico ANÁLISIS ESTRUCTURAL por Aslam Kassamali enseña a los estudiantes los principios básicos del análisis estructural utilizando el enfoque clásico. Los capítulos se presentan en un orden lógico, pasando de una introducción del tema a un análisis de vigas, armazones y marcos rígidos determinados estáticamente, al análisis de estructuras estadísticamente indeterminadas. El texto incluye problemas resueltos para ayudar a ilustrar los conceptos fundamentales. El acceso al software interactivo para analizar estructuras enmarcadas planas está disponible para descargar a través del sitio web complementario del texto.

E.A.P. Ingeniería Civil

Texto en español

No hay comentarios en este titulo.

para colocar un comentario.

Haga clic en una imagen para verla en el visor de imágenes

Imagen de cubierta local Imagen de cubierta local Imagen de cubierta local Imagen de cubierta local Imagen de cubierta local Imagen de cubierta local Imagen de cubierta local

Contacto

  • facebook-placeholder-for-locate-places-on-maps-2 Av. Garcilazo S/N. Tamburco-Abancay-Apurímac-Perú
  • phone-receiver (51) 083-321945
  • close-envelope bibliotecacentral@unamba.edu.pe